Filtrar
292 Questões de concurso encontradas
Página 1 de 59
Questões por página:
Questões por página:
Concurso:
Prefeitura de Jussara - GO
Disciplina:
Matemática
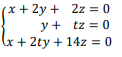
Considere o sistema linear a seguir.

O valor de t para que o sistema linear homogêneo apresentado, com 3 equações e três variáveis, x, y e z, tenha uma solução não trivial, é igual a
Concurso:
UESB
Disciplina:
Matemática
Dadas as matrizes
o valor do determinante do produto A ∙ B é igual a
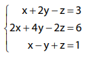
o valor do determinante do produto A ∙ B é igual a Sejam x, y e z números reais que satisfazem ao sistema linear dado a seguir:

O valor de x + y é igual a
Se M representa a matriz
, N a matriz
e Xt a transposta da matriz X, a soma de todos os elementos da matriz produto P = M.Nt é igual a
, N a matriz
e Xt a transposta da matriz X, a soma de todos os elementos da matriz produto P = M.Nt é igual a Uma pesquisa realizada com os clientes de uma cantina na hora do intervalo apontou que, na compra de 7 chocolates,3 pasteis e um suco, gasta-se R$ 24,00. Se a compra for de 10 chocolates,4 pasteis e um suco, o preço será de R$ 33,00.
Para comprar um chocolate, um pastel e um suco, o gasto, em reais, é de
Para comprar um chocolate, um pastel e um suco, o gasto, em reais, é de