Questões de Concurso
Filtrar
1.548 Questões de concurso encontradas
Página 10 de 310
Questões por página:
As turmas FOX e GOLF do CPCAR 2018, que possuem 30 e 20 alunos, respectivamente, combinaram viajar para uma casa de praia num feriado que aconteceu no mês de junho de 2018 .
Antes de viajar, decidiram dividir todas as despesas entre as turmas de forma diretamente proporcional ao número de alunos de cada turma.
Pagaram todas as despesas, mas não pagaram de forma proporcional. A turma FOX pagou 12000 reais e a turma GOLF pagou 10500 reais.
Tendo como base o que as turmas haviam combinado em relação às despesas da viagem, é correto afirmar que
Considere o conjunto de todos os valores de m e n para os quais a expressão algébrica A, abaixo, está definida.

Nesse conjunto, uma expressão algébrica equivalente a A é
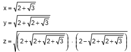
Considere os números reais x, y e z, tais que:

Simplificando a expressão
, obtém-se
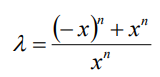
Sobre o conjunto solução, na variável x, x ∈ IR, da equação
, pode-se dizer que
Considere os números reais x e z tais que 3x = 4z e 2 · 8z = 9x .
O valor de z é