Questões de Concurso
Filtrar
1.141 Questões de concurso encontradas
Página 27 de 229
Questões por página:
Questões por página:
Concurso:
Prefeitura de Marechal Floriano - ES
Disciplina:
Matemática
Uma empresa de transportes desenvolveu um modelo para calcular o custo total de uma viagem de caminhão em uma distância percorrida de até 50 km, sendo o custo (C) da viagem baseado na quantidade de quilômetros percorridos (x), seguindo a fórmula C(x) = x²/5 + 10x + 50, onde C(x) é o custo total da viagem em reais e x é a quantidade de quilômetros percorridos. Com base nessas informações, qual será o custo total (C) de uma viagem de 50 km percorridos?
Concurso:
Prefeitura de Atalaia - PR
Disciplina:
Matemática
Um caminhoneiro fez duas viagens e percorreu nessas duas viagens uma quantidade total de 796 quilômetros. Na primeira viagem, ele percorreu o quíntuplo da quantidade de quilômetros que havia percorrido na segunda viagem menos 20. De acordo com essas informações, assinale a alternativa que representa a quantidade de quilômetros que esse caminhoneiro percorreu na primeira viagem.
Concurso:
Prefeitura de Manaus - AM
Disciplina:
Matemática
Concurso:
Prefeitura de Manaus - AM
Disciplina:
Matemática
Na equação
5x − 1 = 2x + 71
o valor de x é
5x − 1 = 2x + 71
o valor de x é
Concurso:
Prefeitura de São Sebastião - SP
Disciplina:
Matemática
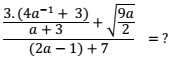
Calcule a expressão seguinte substituindo a por 2:

O valor da expressão será: