Questões de Concurso
Filtrar
1.361 Questões de concurso encontradas
Página 35 de 273
Questões por página:
Questões por página:
Concurso:
Prefeitura de Arraial do Cabo - RJ
Disciplina:
Matemática
Concurso:
Prefeitura de Arraial do Cabo - RJ
Disciplina:
Matemática
Sejam x e y números positivos de modo que xy = yx e x4 = y3. Então, o valor de x é:
Concurso:
Prefeitura de Arraial do Cabo - RJ
Disciplina:
Matemática
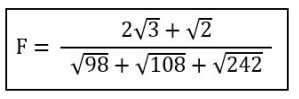
Considere a igualdade a seguir:

Se √6 = m, tem-se que F é igual a:
Concurso:
Prefeitura de Birigui - SP
Disciplina:
Matemática
A operação matemática 3a x 7B tem como solução o número 1323. Sendo α e β números naturais, determine o valor de α+β.
Concurso:
Prefeitura de Itapoá - SC
Disciplina:
Matemática
Uma livraria vendeu, em três dias consecutivos, segunda-feira, terça-feira e quarta-feira, um total de 24.840 livros.
Na terça-feira foram vendidos o triplo da quantidade de livros vendidos na segunda-feira, mais 120 livros. Na quarta-feira foram vendidos o dobro da quantidade de livros vendidos na terça-feira.
Assinale CORRETAMENTE quantos livros foram vendidos na segunda-feira.
Na terça-feira foram vendidos o triplo da quantidade de livros vendidos na segunda-feira, mais 120 livros. Na quarta-feira foram vendidos o dobro da quantidade de livros vendidos na terça-feira.
Assinale CORRETAMENTE quantos livros foram vendidos na segunda-feira.
é igual a: