Questões de Concurso
Filtrar
498 Questões de concurso encontradas
Página 2 de 100
Questões por página:
Questões por página:
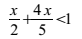
Qual deve ser o valor numérico das incógnitas A, B e C, respectivamente, para que as frações abaixo sejam equivalentes?


Concurso:
PM-SE
Disciplina:
Matemática
Organizando seu computador, Valdomiro distribuiu N arquivos em três pastas. Na primeira pasta ele colocou 1/3 dos arquivos, mais 4 arquivos. Na segunda colocou 1/6 dos arquivos, mais 10 arquivos. Os 22 arquivos restantes foram colocados na terceira pasta. A soma dos algarismos de N é igual a:
O raio de uma esfera aumentou 1/3 de seu valor.
Sendo V o volume inicial da esfera, é correto afirmar que o novo volume
Concurso:
PM-RN
Disciplina:
Matemática
Após um grande incêndio em um prédio residencial, M moradores foram internados no mesmo dia no hospital mais próximo ao local do acidente. Uma semana após o incêndio,12 moradores tiveram alta. Na segunda semana, um terço dos moradores restantes no hospital foram liberados. Na terceira semana, metade dos moradores que ainda restavam no hospital tiveram alta. Sabendo-se que ainda havia 18 moradores internados, qual o valor de M?
