Questões de Concurso
Filtrar
22 Questões de concurso encontradas
Página 2 de 5
Questões por página:
Questões por página:
Concurso:
Prefeitura de Vinhedo - SP
Disciplina:
Raciocínio Lógico
Você está estudando matemática para concursos públicos e, em meio aos diversos exercícios que estava resolvendo, se deparou com o seguinte problema:
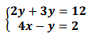
Dado o sistema de equações abaixo, encontre todas as soluções do sistema:
Assinale a alternativa que indica o par ordenado que representa a solução desse sistema de equações.
Dado o sistema de equações abaixo, encontre todas as soluções do sistema:
Assinale a alternativa que indica o par ordenado que representa a solução desse sistema de equações.
Concurso:
Prefeitura de Vinhedo - SP
Disciplina:
Raciocínio Lógico
Você está estudando matemática para concursos públicos e, em meio aos diversos exercícios que estava resolvendo, se deparou com o seguinte problema:
Dado o sistema de equações abaixo, encontre todas as soluções do sistema:
Assinale a alternativa que indica o par ordenado que representa a solução desse sistema de equações.
Dado o sistema de equações abaixo, encontre todas as soluções do sistema:
Assinale a alternativa que indica o par ordenado que representa a solução desse sistema de equações.
Concurso:
Prefeitura de Franco da Rocha - SP
Disciplina:
Raciocínio Lógico
Coonsiderando as equações (X + Y = 7), (Y + Z = 15) e (X + Z = 12), o valor de Z – X – Y é:
Concurso:
Prefeitura de Batatais - SP ..
Disciplina:
Raciocínio Lógico
Assinale a alternativa que apresenta a soma dos valores de x e y no sistema abaixo.

Concurso:
Prefeitura de Paramoti - CE
Disciplina:
Raciocínio Lógico
