Questões de Concurso
Filtrar
74 Questões de concurso encontradas
Página 1 de 15
Questões por página:
Questões por página:
Concurso:
SEDUC
Disciplina:
Matemática
Em uma sala de aula, sobre a mesa de um estudante, havia uma folha quadriculada, em que cada um dos quadrados tinha 1 cm de lado. Enquanto esse estudante observava a folha, uma aranha caiu sobre ela, e o estudante marcou esse ponto como a origem do plano complexo. Após cair na folha, a aranha correu para o ponto A no segundo quadrante. O estudante traçou uma linha entre a origem e o ponto A e percebeu que esse ponto estava a 30 cm da origem e que a reta traçada fazia um ângulo de 30° com o eixo imaginário.
Com base nessas informações, assinale a opção que apresenta corretamente o número complexo equivalente ao ponto A.
Com base nessas informações, assinale a opção que apresenta corretamente o número complexo equivalente ao ponto A.
Concurso:
Prefeitura de Concórdia - SC
Disciplina:
Matemática
Considere o polinômio p(z) = z⁴ + 4.
Sobre suas raízes complexas, é correto afirmar que:
Concurso:
Prefeitura de Itapoá - SC
Disciplina:
Matemática
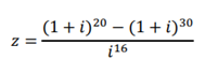
Considere o número complexo a seguir:

A forma algébrica do número complexo acima é:
Concurso:
Prefeitura de Arraial do Cabo - RJ
Disciplina:
Matemática
Sendo i = √−1, a expressão (√2 + i)4 + (√2 − i)4 é igual a um número inteiro n. A soma dos algarismos do valor absoluto do número n é:
Concurso:
Prefeitura de Carmo do Rio Verde - GO
Disciplina:
Matemática
Considere os números complexos z = 3 + 4i e w = 1− i. O módulo do produto z. w é dado por