Questões de Concurso
Filtrar
293 Questões de concurso encontradas
Página 5 de 59
Questões por página:
Questões por página:
Concurso:
Prefeitura de Pontalina - GO
Disciplina:
Matemática
Considere os vetores
. Sabendo-se que
encontre o valor de a - b.
Concurso:
Prefeitura de Pontalina - GO
Disciplina:
Matemática
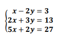
Considere o sistema linear a seguir.

Sobre o sistema linear em questão, é correto afirmar que:
Concurso:
Prefeitura de Pontalina - GO
Disciplina:
Matemática
Tendo como base os conceitos de determinantes de uma matriz, julgue as afirmações e assinale a alternativa correspondente.
I- Caso ocorra igualdade de elementos entre duas linhas ou duas colunas, o determinante dessa matriz será nulo
II- Verificadas em uma matriz duas linhas ou duas colunas com elementos de valores proporcionais, o determinante terá valor igual à zero
III- Ao multiplicarmos todos os elementos de uma linha ou coluna de uma matriz por um número M, o seu determinante fica multiplicado por M.
Concurso:
Prefeitura de Araucária - PR
Disciplina:
Matemática
Em uma loja, o preço de 2 lapiseiras e 1 borracha é 12 reais, e o preço de 4 lapiseiras e 3 borrachas é 29 reais. Sabendo que todas as lapiseiras têm o mesmo preço e todas as borrachas têm o mesmo preço, qual é a diferença de preço entre uma borracha e uma lapiseira?
Concurso:
Prefeitura de Bragança Paulista - SP
Disciplina:
Matemática
Quatro números naturais A, B, C e D são tais que, a soma desses quatro números é igual a 63, B é 200% superior ao valor de D, C é 50% superior ao valor de B, D é 50% inferior ao valor de A e por fim temos que A = B − D. Com base nas referências acima podemos concluir que B + D é igual a: