Questões de Concurso
Filtrar
5.771 Questões de concurso encontradas
Página 239 de 1.155
Questões por página:
Questões por página:
Em 2023, o preço de um produto sofreu um aumento de 8% sobre seu preço original. Em 2024, o mesmo produto aumentou 15% e terminou o ano a R$ 55,89. A partir dessas informações, é correto afirmar que o preço original desse produto era
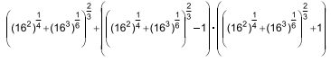
A senha de uma porta com fechadura eletrônica é o número resultante do cálculo da expressão:

A senha dessa fechadura é um valor que pertence ao intervalo de números entre
Concurso:
UNESP
Disciplina:
Matemática
A soma dos lucros líquidos de duas empresas, A e B, no mês de maio de 2025, é R$ 70.000,00. Sabe-se que o lucro líquido da empresa B no referido mês, quando comparado ao lucro líquido da empresa A, correspondeu a um valor 50% maior.
Então, a diferença entre os lucros líquidos das empresas B e A, em maio de 2025, foi
Então, a diferença entre os lucros líquidos das empresas B e A, em maio de 2025, foi
Concurso:
UNESP
Disciplina:
Matemática
O computador de Pedro tem um espaço de armazenamento total de 760 GB. Ele dividirá esse espaço de armazenamento em três partes, cada uma destinada a armazenar os dados de uma destas três categorias: processos judiciais, dados de cadastro e normas técnicas. Pedro fará essa divisão de maneira que cada parte desse espaço de armazenamento seja diretamente proporcional ao número estimado de arquivos de cada categoria, que são: 80 para processos judiciais,120 para dados de cadastro e 180 para normas técnicas.
Nessas condições, serão destinados, para normas técnicas,
Nessas condições, serão destinados, para normas técnicas,
Concurso:
UNESP
Disciplina:
Matemática
Com o objetivo de realizar uma reforma, Rogério reservou certa quantidade x de recursos, em reais, que prevê o custo com a mão de obra do profissional executante e o custo dos materiais, a saber: 5 latas de tinta,1 rolo de pintura,2 pincéis,1 saco de argamassa e 5 lixas. Rogério contratará um profissional que cobrará, pela mão de obra, R$ 2.500,00, e, quanto aos materiais, ele os comprou em uma loja onde os referidos itens são vendidos sob os seguintes preços unitários:
Se, depois de somados todos os custos envolvidos, sobraram ainda R$ 175,90 do valor inicialmente reservado, é correto afirmar que x é igual a
Se, depois de somados todos os custos envolvidos, sobraram ainda R$ 175,90 do valor inicialmente reservado, é correto afirmar que x é igual a