Questões de Concurso
Filtrar
824 Questões de concurso encontradas
Página 9 de 165
Questões por página:
Questões por página:
Concurso:
Câmara de Arcoverde - PE
Disciplina:
Matemática
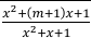
Dada a função g tal que g(x) =
Qual é o valor de g (7)?
Qual é o valor de g (7)?
Concurso:
Prefeitura de Cururupu - MA
Disciplina:
Matemática
Concurso:
Prefeitura de Cururupu - MA
Disciplina:
Matemática
A seguinte inequação x4 - 5x2 + 4 ≥ 0, em ℝ, possui o seguinte conjunto solução:
Concurso:
Prefeitura de Cururupu - MA
Disciplina:
Matemática
Uma pessoa está posicionada no ponto de origem de um sistema de coordenadas cartesianas com eixos Ox e Oy. Essa pessoa pode dar um passo por vez, movendo-se para o norte (N) ou para o leste (L). Assinale corretamente a quantidade de trajetórias diferentes que essa pessoa pode seguir, se der exatamente 6 passos.
Concurso:
Prefeitura de Itumbiara - GO
Disciplina:
Matemática
A função cujo gráfico modela um fio suspenso é y = ex + e-x / 2 . Sua inversa, para x positivo, pode ser obtida ao escrever 2y = t + 1/t, em que t = ex. A expressão de x em função de y é
