Questões de Concurso
Filtrar
465.390 Questões de concurso encontradas
Página 71 de 93.078
Questões por página:
Questões por página:
Concurso:
Prefeitura de Varginha - MG
Disciplina:
Matemática
Em 2025, uma pesquisa revelou que 60% das empresas globais já utilizavam soluções de Inteligência Artificial (IA) em seus processos. Entre essas empresas,40% afirmaram que a IA aumentou sua eficiência operacional em 20%. Qual é a porcentagem total de empresas globais que tiveram um aumento de eficiência operacional devido à IA?
Concurso:
Prefeitura de Varginha - MG
Disciplina:
Matemática
Em 2023, foram abertas 2.000 vagas para concursos públicos de nível médio. Em 2024, o número subiu para 3.000 vagas, e em 2025, alcançou 4.500 vagas. Qual é a razão entre o número de vagas de 2025 e o total de vagas dos três anos somados?
Concurso:
Prefeitura de Varginha - MG
Disciplina:
Matemática
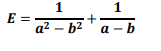
Seja 
Considere a expressão:

Determine o valor exato de E.
Concurso:
Prefeitura de Varginha - MG
Disciplina:
Matemática
Uma empresa faz entregas em dois bairros: Vila Matilde a cada 18 dias e Lapa a cada 24 dias. Se hoje ela fez entregas nos dois bairros, em quantos dias voltará a fazer entregas simultâneas nos dois bairros?
Concurso:
Prefeitura de Varginha - MG
Disciplina:
Português
“A maior parte dos torcedores _______ (aderiu/aderiram) às medidas do clube."
Assinale a alternativa que preenche corretamente a lacuna da frase acima e justifica o uso do(s) verbo(s) de forma adequada.