Questões de Concurso
Filtrar
515.374 Questões de concurso encontradas
Página 135 de 103.075
Questões por página:
Questões por página:
Disciplina:
Química
A imagem a seguir apresenta a estrutura química do azul de metileno, um corante amplamente utilizado na medicina e como indicador em reações químicas.
A massa de 0,5 mol do corante apresentado na imagem é
A massa de 0,5 mol do corante apresentado na imagem é
Disciplina:
Química
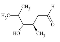
Considere a estrutura química a seguir:

As funções orgânicas existentes na molécula são
Disciplina:
Química
Considere a estrutura química da leucina:

Em relação aos conceitos de química orgânica e inorgânica, é correto afirmar que a estrutura química da leucina apresenta
Disciplina:
Química
Considere o composto orgânico a seguir:

Em relação ao carbono destacado, é correto afirmar que
Disciplina:
Engenharia Química e Química Industrial
Em uma estação de tratamento, há um filtro com dimensões de 10 metros por 15 metros. Com uma entrada de 12x106 de litros de efluente por dia, a quantidade de efluente (m³) que passa por cada metro quadrado do filtro por minuto (taxa de filtração) é de, aproximadamente,