Questões de Concurso
Filtrar
3.858 Questões de concurso encontradas
Página 81 de 772
Questões por página:
Questões por página:
Concurso:
Prefeitura de Pouso Alegre - MG
Disciplina:
Biologia
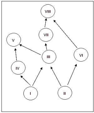
Analise a teia alimentar a seguir:

Assinale a afirmativa correta.
Concurso:
Prefeitura de Pouso Alegre - MG
Disciplina:
Biologia
Os ossos dos membros anteriores dos cavalos e das asas dos morcegos derivam dos ossos dos membros anteriores do grupo ancestral, que deu origem a tais organismos. Esses são exemplos de estruturas homólogas entre si. No geral, sobre as estruturas homólogas, é INCORRETO afirmar que:
Concurso:
Prefeitura de Pouso Alegre - MG
Disciplina:
Biologia
Com a descoberta dos micro-organismos no século XVII, a teoria da abiogênese renasceu. Afirmava-se que os micro-organismos recém-descobertos eram tão simples que poderiam surgir da matéria sem vida. Um dos experimentos para provar essa teoria foi feito aquecendo e fechando hermeticamente vários recipientes cheios de caldo de carne. E o resultado foi que, mesmo com os vidros fechados, se desenvolvia no caldo de carne um grande número de micro-organismos (bactérias). O que demonstrava a existência de geração espontânea. Esse experimento foi desenvolvido por:
Concurso:
Prefeitura de Pouso Alegre - MG
Disciplina:
Biologia
Os tecidos conjuntivos formam-se do mesênquima–tecido embrionário originado da mesoderme e formado por um grupo de células imersas em uma substância viscosa. Todos os tecidos conjuntivos apresentam grande quantidade de substância intercelular (matriz extracelular), formada por fibras que ficam imersas na substância fundamental. Eles se dividem em vários tipos. São considerados tecidos conjuntivos, EXCETO:
Concurso:
Prefeitura de Pouso Alegre - MG
Disciplina:
Biologia
“O conjunto de estames forma o androceu e cada estame é uma folha modificada fértil que os botânicos denominam _________________, onde ocorre a formação de _________________, no interior dos quais se desenvolvem as células-mãe dos esporos, chamadas de _________________.” Assinale a alternativa que completa correta e sequencialmente a afirmativa anterior.