Questões de Concurso
Filtrar
537.802 Questões de concurso encontradas
Página 152 de 107.561
Questões por página:
Questões por página:
Quando as primeiras gotas de chuva atingem o solo, costumamos sentir o que chamamos de “cheiro de chuva”, e a principal substância envolvida nesse fenômeno é a geosmina, uma substância orgânica sintetizada por bactérias, cianobactérias e fungos. Estruturalmente, a geosmina (figura ao lado) é um álcool com 2 metilas substituintes e 3 centros de quiralidade em um sistema de dois anéis fundidos. Com base nas informações acima e nos conhecimentos de estereoquímica, quantos enantiômeros a estrutura mostrada possui?

O linalol é uma substância orgânica de origem natural presente em óleos essenciais de diversas plantas aromáticas, como a lavanda e o manjericão. Essa substância é utilizada como um fixador de fragrâncias na indústria química e apresenta uma série de propriedades biológicas, por exemplo, atividade analgésica. Na estrutura química do linalol, mostrada ao lado, estão presentes duas metilas (como grupos substituintes), além das funções químicas alqueno e álcool. 
Com base nas informações acima e nos conhecimentos de nomenclatura de compostos orgânicos, assinale a alternativa que apresenta o nome do linalol recomendado pela IUPAC (União Internacional de Química Pura e Aplicada).

Com base nas informações acima e nos conhecimentos de nomenclatura de compostos orgânicos, assinale a alternativa que apresenta o nome do linalol recomendado pela IUPAC (União Internacional de Química Pura e Aplicada).
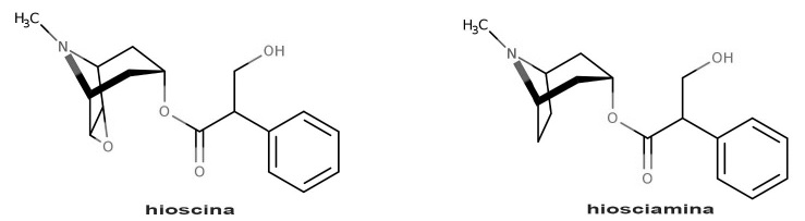
No livro Harry Potter e a câmara secreta, os protagonistas têm uma aula sobre a colheita da mandrágora, uma planta capaz de produzir uma poção restaurativa. De fato, a mandrágora é uma planta que foi associada às práticas de bruxaria na Idade Média. Herboristas da época, na maioria mulheres, eram frequentemente acusadas e condenadas à fogueira por bruxaria. Essas mulheres detinham o conhecimento para extrair o extrato da raiz de mandrágora e preparar um unguento, à base de óleos ou gordura animal, com propriedades medicinais, anestésicas e (em doses mais altas) alucinógenas. Os dois principais alcaloides presentes na raiz da mandrágora são hioscina e hiosciamina, cujas estruturas são mostradas a seguir: 
Esses alcaloides apresentam alta combinação com óleos e gorduras bem como baixíssima solubilidade em água. Isso se justifica porque eles:

Esses alcaloides apresentam alta combinação com óleos e gorduras bem como baixíssima solubilidade em água. Isso se justifica porque eles:
Tecidos empregados na confecção de roupas em geral podem ser divididos em naturais, que compreendem o algodão, a lã e a seda, e em sintéticos, como o poliéster, o polipropileno, o náilon etc. Diferentemente do algodão, constituído por fibras de celulose que contêm unidades de carboidratos, a seda é constituída de fibras proteicas que contêm aminoácidos, sendo essas fibras produzidas pelo bicho-da-seda. Esse tecido foi introduzido por volta do ano 2600 a.C. e até hoje é considerado insubstituível devido às suas características. A estrutura constituinte da fibra da seda corresponde a:
Para manter uma atmosfera saudável em ambientes totalmente fechados, como espaçonaves ou submarinos, faz-se necessária a remoção do gás carbônico expirado. O peróxido de lítio (Li2O2) tem vantagens para tal aplicação, pois, além de absorver o CO2, libera oxigênio gasoso (O2), conforme mostra a equação química a seguir:
2Li2O2(s) + 2CO2(g) → 2Li2CO3(s) + O2(g)
Se 88 L de gás carbônico forem absorvidos pelo peróxido de lítio, qual será o volume de oxigênio liberado?
2Li2O2(s) + 2CO2(g) → 2Li2CO3(s) + O2(g)
Se 88 L de gás carbônico forem absorvidos pelo peróxido de lítio, qual será o volume de oxigênio liberado?