Questões de Concurso
Filtrar
537.802 Questões de concurso encontradas
Página 127 de 107.561
Questões por página:
Questões por página:
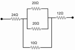
Para mostrar a função e a forma como resistores podem ser arranjados dentro de um circuito elétrico, um instrutor do laboratório de perícia papiloscópica montou o circuito ilustrado abaixo. Após uma análise desse circuito, o instrutor solicitou aos estudantes que determinassem a resistência equivalente da combinação mostrada.

Com base nesse caso hipotético e no circuito ilustrado, assinale a alternativa que apresenta o valor da resistência equivalente.

Com base nesse caso hipotético e no circuito ilustrado, assinale a alternativa que apresenta o valor da resistência equivalente.
Um rapaz fixou uma corda de nylon, estreita e flexível, entre duas árvores. Ao andar sobre a corda esticada, ele se desequilibrou e pulou. Nesse momento, uma onda se propagou nessa corda com a seguinte equação:
y = 0,4sen (π/3 x - 3πt).
Com base nesse caso hipotético e considerando que as constantes numéricas da equação acima estão no Sistema Internacional (SI) de medidas, assinale a alternativa correta.
y = 0,4sen (π/3 x - 3πt).
Com base nesse caso hipotético e considerando que as constantes numéricas da equação acima estão no Sistema Internacional (SI) de medidas, assinale a alternativa correta.

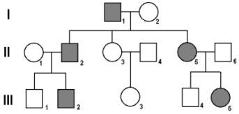
A figura acima ilustra um heredograma de uma família com indivíduos afetados (símbolos escuros) e não afetados (símbolos claros). O padrão de herança mendeliana apresentado nesse heredograma é característico de herança
As anomalias cromossômicas podem ser tanto numéricas quanto estruturais, afetando cromossomos sexuais, um ou mais autossomos ou, em alguns casos, os dois tipos de cromossomos. Acerca desse assunto, assinale a alternativa correta.

Tendo a figura acima, que ilustra os níveis de organização na estrutura das proteínas, como referência, assinale a alternativa correta.