Questões de Concurso
Filtrar
13.365 Questões de concurso encontradas
Página 4 de 2.673
Questões por página:
Em um centro de pesquisa aplicada, será formada uma comissão científica com 5 pesquisadores dentre 8 disponíveis. Contudo, dois desses pesquisadores não podem atuar juntos, pois estão vinculados a um mesmo projeto sigiloso que impede participações simultâneas em outros grupos.
O número total de comissões distintas que podem ser constituídas, respeitando essa restrição, corresponde a:
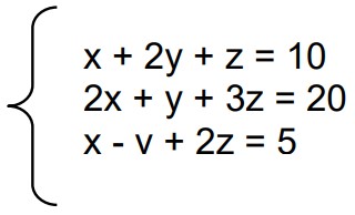
Em um laboratório químico, três substâncias A, B e C são misturadas para formar diferentes soluções experimentais. As quantidades x, y e z (em litros) de cada substância devem satisfazer o seguinte sistema linear:

Sabendo que o determinante da matriz dos coeficientes (D) é utilizado para verificar a existência e unicidade da solução, é correto afirmar que o sistema:
Em uma usina hidrelétrica, a pressão de um reservatório de vapor é monitorada por sensores que registram seu aumento ao longo do tempo, conforme a função

em que P(t) é a pressão em megapascais (MPa) e t representa o tempo em horas. Quando a pressão atinge 162 MPa, um alarme de segurança é acionado. O tempo necessário para que isso ocorra é igual a:
O custo mensal de manutenção de um laboratório é modelado pela função polinomial
C(x) = x³ − 6x² + 11x − 6
onde x indica o número de máquinas em operação. Uma das quantidades de máquinas possíveis que mantém o custo nulo é:
Em uma empresa de tecnologia,200 funcionários participaram de uma pesquisa sobre o uso de duas linguagens de programação: Python e Java. Verificou-se que 120 utilizam Python,100 utilizam Java, e 70 afirmaram usar ambas.
A proporção de funcionários que não utilizam nenhuma das duas linguagens é representada por: