Questões de Concurso
Filtrar
14.976 Questões de concurso encontradas
Página 7 de 2.996
Questões por página:

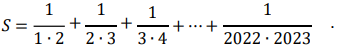
Avalie as seguintes sentenças:
I. S é um número racional. II. S ≤ 1 / 2 III. S = 2022 / 2023 IV. S ≥ 1 .
Assinale a alternativa que contenha APENAS afirmações corretas.
Dado o sistema linear nas variáveis reais x, y e z:
ax − 6y + 9z = 15
−6x + 15y + bz = 9,
⎩ −3x + cy − 3z = 6
em que os coeficientes a, b e c, nessa ordem, formam uma progressão aritmética de razão 3, e o coeficiente b é o dobro de a.
Se x, y e z é uma solução do sistema, então o produto x ∙ y ∙ z é igual a
Considere a seguinte situação hipotética e, ao final, responda o que se pede:
Se com 120 policiais militares o 88° Batalhão da Polícia Militar consegue atender a 40 ocorrências policiais por dia e patrulhar 420 quilômetros de vias urbanas por dia operando em sua capacidade máxima, quantos policiais são necessários para que o 89º Batalhão da Polícia Militar, também operando em sua capacidade máxima, consiga atender a 70 ocorrências policiais por dia e patrulhar 350 Km de vias urbanas por dia? (Considere o tempo médio de atendimento de ocorrências e o tempo médio de patrulhamento por quilômetro igual nos dois batalhões.)
Marque a alternativa CORRETA.