Questões de Concurso
Filtrar
14.329 Questões de concurso encontradas
Página 8 de 2.866
Questões por página:
Questões por página:
Concurso:
Prefeitura de Nina Rodrigues - MA
Disciplina:
Matemática
Sendo
marque a alternativa que corresponde a matriz X, tal que X = A – B
marque a alternativa que corresponde a matriz X, tal que X = A – B
Concurso:
Prefeitura de Nina Rodrigues - MA
Disciplina:
Matemática
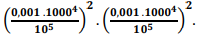
Marque a alternativa que corresponde o resultado da expressão 

Concurso:
Prefeitura de Nina Rodrigues - MA
Disciplina:
Matemática
O resultado da soma dos 10 primeiros termos de uma progressão aritmética é 240. Se o 1° termo dessa progressão é 2, quanto vale a rua razão?
Concurso:
Prefeitura de Nina Rodrigues - MA
Disciplina:
Matemática
Simplifique a expressão
e marque a alternativa que corresponde ao seu resultado:
e marque a alternativa que corresponde ao seu resultado:
Concurso:
Prefeitura de Nina Rodrigues - MA
Disciplina:
Matemática
Analise as afirmativas abaixo e marque a alternativa que corresponde as afirmações CORRETAS:
I. A expressão √4 + √9 + √1 tem como resposta o valor 7
II. A expressão 2 /√8 tem como resposta a expressão √2/ 2
III. A expressão √(−3) 2 + (−2) 6 − (−2,4) + 8 tem como resposta o valor 8
I. A expressão √4 + √9 + √1 tem como resposta o valor 7
II. A expressão 2 /√8 tem como resposta a expressão √2/ 2
III. A expressão √(−3) 2 + (−2) 6 − (−2,4) + 8 tem como resposta o valor 8