Questões de Concurso
Filtrar
515.374 Questões de concurso encontradas
Página 1719 de 103.075
Questões por página:
Questões por página:
Concurso:
Prefeitura de Fazenda Rio Grande - PR
Disciplina:
Química
mostrar texto associado
Na imagem, o ponto que representa o equilíbrio químico da reação é numerado por
Concurso:
Prefeitura de Fazenda Rio Grande - PR
Disciplina:
Química
Assinale a alternativa que preencha corretamente as lacunas.
Quando um núcleo sofre um decaimento alfa, ejeta uma partícula alfa de tal modo que seu número de massa _________ e seu número atômico __________.
Quando um núcleo sofre um decaimento alfa, ejeta uma partícula alfa de tal modo que seu número de massa _________ e seu número atômico __________.
Concurso:
Prefeitura de Fazenda Rio Grande - PR
Disciplina:
Química
mostrar texto associado
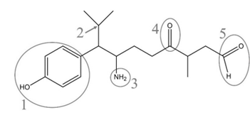
As funções orgânicas marcadas em 1, 3, 4 e 5 são, respectivamente:
Concurso:
Prefeitura de Fazenda Rio Grande - PR
Disciplina:
Química
mostrar texto associado
Sobre o átomo de carbono marcado em 2, assinale a alternativa incorreta.
Concurso:
Prefeitura de Fazenda Rio Grande - PR
Disciplina:
Química
mostrar texto associado
A fórmula molecular da estrutura química fornecida será de

